印刷数学公式识别算法-LaTeX-OCR¶
1. 算法简介¶
原始项目:
LaTeX-OCR使用LaTeX-OCR印刷公式数据集进行训练,在对应测试集上的精度如下:
| 模型 | 骨干网络 | 配置文件 | BLEU score | normed edit distance | ExpRate | 下载链接 |
|---|---|---|---|---|---|---|
| LaTeX-OCR | Hybrid ViT | LaTeX_OCR_rec.yaml | 0.8821 | 0.0823 | 40.01% | 训练模型 |
2. 环境配置¶
请先参考《运行环境准备》配置PaddleOCR运行环境,参考《项目克隆》克隆项目代码。
此外,需要安装额外的依赖:
3. 模型训练、评估、预测¶
3.1 pickle 标签文件生成¶
从谷歌云盘中下载 formulae.zip 和 math.txt,之后,使用如下命令,生成 pickle 标签文件。
# 创建 LaTeX-OCR 数据集目录
mkdir -p train_data/LaTeXOCR
# 解压formulae.zip ,并拷贝math.txt
unzip -d train_data/LaTeXOCR path/formulae.zip
cp path/math.txt train_data/LaTeXOCR
# 将原始的 .txt 文件转换为 .pkl 文件,从而对不同尺度的图像进行分组
# 训练集转换
python ppocr/utils/formula_utils/math_txt2pkl.py --image_dir=train_data/LaTeXOCR/train --mathtxt_path=train_data/LaTeXOCR/math.txt --output_dir=train_data/LaTeXOCR/
# 验证集转换
python ppocr/utils/formula_utils/math_txt2pkl.py --image_dir=train_data/LaTeXOCR/val --mathtxt_path=train_data/LaTeXOCR/math.txt --output_dir=train_data/LaTeXOCR/
# 测试集转换
python ppocr/utils/formula_utils/math_txt2pkl.py --image_dir=train_data/LaTeXOCR/test --mathtxt_path=train_data/LaTeXOCR/math.txt --output_dir=train_data/LaTeXOCR/
3.2 模型训练¶
请参考文本识别训练教程。PaddleOCR对代码进行了模块化,训练LaTeX-OCR识别模型时需要更换配置文件为LaTeX-OCR的配置文件。
启动训练¶
具体地,在完成数据准备后,便可以启动训练,训练命令如下:
#单卡训练 (默认训练方式)
python3 tools/train.py -c configs/rec/LaTeX_OCR_rec.yaml
#多卡训练,通过--gpus参数指定卡号
python3 -m paddle.distributed.launch --gpus '0,1,2,3' tools/train.py -c configs/rec/LaTeX_OCR_rec.yaml
注意:
- 默认每训练22个epoch(60000次iteration)进行1次评估,若您更改训练的batch_size,或更换数据集,请在训练时作出如下修改
3.3 评估¶
可下载已训练完成的模型文件,使用如下命令进行评估:
# 注意将pretrained_model的路径设置为本地路径。若使用自行训练保存的模型,请注意修改路径和文件名为{path/to/weights}/{model_name}。
# 验证集评估
python3 tools/eval.py -c configs/rec/LaTeX_OCR_rec.yaml -o Global.pretrained_model=./rec_latex_ocr_train/best_accuracy.pdparams
# 测试集评估
python3 tools/eval.py -c configs/rec/LaTeX_OCR_rec.yaml -o Global.pretrained_model=./rec_latex_ocr_train/best_accuracy.pdparams Eval.dataset.data_dir=./train_data/LaTeXOCR/test Eval.dataset.data=./train_data/LaTeXOCR/latexocr_test.pkl
3.4 预测¶
使用如下命令进行单张图片预测:
# 注意将pretrained_model的路径设置为本地路径。
python3 tools/infer_rec.py -c configs/rec/LaTeX_OCR_rec.yaml -o Global.infer_img='./docs/datasets/images/pme_demo/0000013.png' Global.pretrained_model=./rec_latex_ocr_train/best_accuracy.pdparams
# 预测文件夹下所有图像时,可修改infer_img为文件夹,如 Global.infer_img='./doc/datasets/pme_demo/'。
4. 推理部署¶
4.1 Python推理¶
首先将训练得到best模型,转换成inference model。这里以训练完成的模型为例(模型下载地址),可以使用如下命令进行转换:
# 注意将pretrained_model的路径设置为本地路径。
python3 tools/export_model.py -c configs/rec/LaTeX_OCR_rec.yaml -o Global.pretrained_model=./rec_latex_ocr_train/best_accuracy.pdparams Global.save_inference_dir=./inference/rec_latex_ocr_infer/
# 目前的静态图模型支持的最大输出长度为512
rec_char_dict_path是否为所需要的字典文件。
- 转换后模型下载地址
转换成功后,在目录下有三个文件:
/inference/rec_latex_ocr_infer/
├── inference.pdiparams # 识别inference模型的参数文件
├── inference.pdiparams.info # 识别inference模型的参数信息,可忽略
└── inference.pdmodel # 识别inference模型的program文件
执行如下命令进行模型推理:
python3 tools/infer/predict_rec.py --image_dir='./docs/datasets/images/pme_demo/0000295.png' --rec_algorithm="LaTeXOCR" --rec_batch_num=1 --rec_model_dir="./inference/rec_latex_ocr_infer/" --rec_char_dict_path="./ppocr/utils/dict/latex_ocr_tokenizer.json"
# 预测文件夹下所有图像时,可修改image_dir为文件夹,如 --image_dir='./doc/datasets/pme_demo/'。

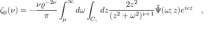
执行命令后,上面图像的预测结果(识别的公式)会打印到屏幕上,示例如下:
Predicts of ./doc/datasets/pme_demo/0000295.png:\zeta_{0}(\nu)=-{\frac{\nu\varrho^{-2\nu}}{\pi}}\int_{\mu}^{\infty}d\omega\int_{C_{+}}d z{\frac{2z^{2}}{(z^{2}+\omega^{2})^{\nu+1}}}{\tilde{\Psi}}(\omega;z)e^{i\epsilon z}~~~,
注意:
- 需要注意预测图像为白底黑字,即手写公式部分为黑色,背景为白色的图片。
- 在推理时需要设置参数
rec_char_dict_path指定字典,如果您修改了字典,请修改该参数为您的字典文件。 - 如果您修改了预处理方法,需修改
tools/infer/predict_rec.py中 LaTeX-OCR 的预处理为您的预处理方法。
4.2 C++推理部署¶
由于C++预处理后处理还未支持 LaTeX-OCR,所以暂未支持
4.3 Serving服务化部署¶
暂不支持
4.4 更多推理部署¶
暂不支持
5. FAQ¶
- LaTeX-OCR 数据集来自于LaTeXOCR源repo 。